


寧經理:18853131830,15553139909
王經理:18615581926
銷售一部:0531-88760590
銷售二部:0531-88786527
工廠地址: 濟南高新區孫村鎮大正路與世紀大道交叉口東50米
銷售地址:山東省濟南市高新區聯合財富廣場1號樓907
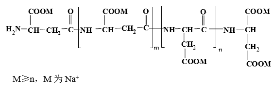
Sodium of Polyaspartic Acid (PASP)
CAS No. 181828-06-8,35608-40-6
分子式:C4H5NO3M(C4H4NO3M)m(C4H4NO3M)nC4H4NO3M2 相對分子質量:1000-5000
結構式


PASP為水溶性聚合物,是一種新型綠色水處理劑,具有無磷、無毒、無公害和可完全生物降解的特性。對離子有較強的螯合能力,具有緩蝕與阻垢雙重功效,對碳酸鈣、硫酸鈣、硫酸鋇、磷酸鈣等成垢鹽類具有良好的阻垢效果,對碳酸鈣的阻垢率可達100%。PASP同時具有分散作用并可有效防止金屬設備的腐蝕。
PASP可替代含磷的水處理劑,以避免水體的富營養化和排放二次污染。
項 目 | 指 標 |
外 觀 | 黃色至紅棕色液體 |
固體含量/% | ≥40.0 |
pH值(1%水溶液) | 9.0~11.0 |
密度(20℃)/g·cm-3 | ≥1.20 |
1、PASP作為阻垢緩蝕劑廣泛用于工業循環水、鍋爐水、反滲透水、油田水、海水淡化等水處理領域,在高硬度、高堿度、高PH、高濃縮倍數系統中表現卓越,PASP阻垢效果優于常用含膦阻垢劑。PASP與PBTCA復配后有增效作用。
2、PASP由于綠色環保的特性,PASP品可作為新型的日化助劑和各種無毒、無污染的專用精細化學品。
3、PASP在農業上可以作養分吸收增強劑,促進蔬菜、瓜果、花卉等農作物的生產,同時與農藥并用可提高藥效。
PASP用塑料桶包裝,每桶25kg或250kg,也可根據用戶需要確定。PASP貯于室內陰涼處,貯存期十個月。
PASP為堿性,操作時注意勞動保護,應避免與皮膚、眼睛等接觸,接觸后用大量清水沖洗。
致力于優化每個水處理項目,打造中國環保行業品牌企業
保護環境是我們每個人的責任和義務